平成21年 秋期 基本情報技術者 午前 問01
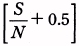
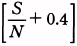
問01 平均値を算出する式N 個の観測値の平均値を算出する式はどれか。ことで, S は N 個の 観測値の和(ただし, S >0)とし, [ X ] は X 以下で最大の整数とするとまた,平均値は, 小数第1位を四捨五入して整数値として求める。
イ ![]()
ウ 解説
[←前の問題] [次の問題→] [問題一覧表] [分野別] [キーワード索引] [基本情報技術者試験TOP ]
©2004-2025 情報処理試験.jp
|
プライバシーポリシー・著作権・リンク
|
お問合わせ
| |
