平成31年 春期 基本情報技術者 午後 問04
問04 5問選択eラーニングシステムの構成変更に関する次の記述を読んで,設問1〜3に答えよ。 G社は,全国に設置した様々な規模の教室から教育コンテンツにアクセスできる Web ベースの eラーニングシステムを構築し,このシステムを使った教育事業を展開している。 eラーニングシステムは,1台のコンテンツサーバと1台のアプリケーションサーバで 構成されている。コンテンツサーバは,教材や試験問題などの教育コンテンツを 保持し,アプリケーションサーバを経由して,クライアントである教室の PC に 教育コンテンツを送信する。 アプリケーションサーバは,受講者の認証を行い,ログインしている受講者を管理する。 受講者は,クライアントを利用して,教室ごとに設置されているプロキシサーバと インターネットを経由して,eラーニングシステムにアクセスして学習する。 最近,一部の受講者から,システム利用に関して,“応答に時間が掛かる”などの 苦情が寄せられている。G社では,応答時間を短縮するために,アプリケーションサーバ1台の 追加と負荷分散装置の導入を伴う新しいネットワーク構成を検討した。 負荷分散装置は,クライアントからの要求を,同じ機能をもつ複数のサーバの うちのいずれかに振り分ける装置である。 〔検討したネットワーク構成〕 検討したネットワーク構成を,図1に示す。
![]() 図1 検討したネットワーク構成 クライアントからプロキシサーバを経由して,eラーニングシステムにアクセスするために, DNS サーバ及び負荷分散装置には次の設定を行う。
〔負荷分散装置を用いたアクセスの振り分け〕 アプリケーションサーバは,ログインしている受講者を管理し,その受講者がどの 教育コンテンツを閲覧中かなどの状況を保持する。したがって,負荷分散装置を用いて アプリケーションサーバの負荷分散を行う場合には,受講者が eラーニングシステムに ログインしてからログアウトするまでは,その受講者が利用する1台のクライアントから アプリケーションサーバヘの要求を,常に同一のアプリケーションサーバヘ 振り分ける必要がある。負荷分散装置には,送信元の IP アドレスの情報を基に要求を 振り分けるタイプ(以下,装置タイプ A という)と,OSI 基本参照モデルのレイヤ 4 以上の 情報を基に要求を振り分けるタイプ(以下,装置タイプ B という)とがある。 二つのタイプそれぞれの装置の動作について,概要を次に示す。 (1) 装置タイプ A (b) 振り分け先が決まっている送信元 IP アドレスからの要求は,そのアプリケーションサーバに振り分ける。 装置タイプ A を用いると,@多くのクライアントのある大規模な教室からのアクセスが, 1台のアプリケーションサーバに負荷に偏りが生じることが予想される。 (2) 装置タイプ B (b)アプリケーションサーバから送信された応答に含まれる HTTP ヘッダ内の識別情報と, 当該アプリケーションサーバの IP アドレスとを記録する。 (c) クライアントから送信された要求中の HTTP ヘッダ内の識別情報に対応する アプリケーションサーバの IP アドレスが (b) の処理によって記録されている場合は, そのアプリケーションサーバに振り分ける。 検討の結果,アプリケーションサーバの負荷に偏りが少なくなることから,装置タイプ B を 導入することにした。
a に関する解答群 エ 192.168.0.2 オ 192.168.0.3 カ 198.51.100.1 b に関する解答群 ウ 192.168.0.2 と 192.168.0.3 エ 192.168.0.2 と 192.168.0.254 c に関する解答群 イ アプリケーションサーバとコンテンツサーバのポート番号 ウ セッション ID を示す cookie エ 負荷分散装置の IP アドレス
解答群 イ クライアントから送られてきた IP パケット内の送信先アドレスが変換されること。 ウ 負荷分散装置が送信元 IP アドレスの情報を用いるだけの単純な機能なので,高速に動作すること。 エ プロキシサーバを経由しても,HTTP ヘッダの情報が変更されないこと。
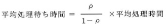
eラーニングシステムの応答時間は,1件の要求に対するネットワーク上の データ転送時間,アプリケーションサーバでの処理待ち時間,及びアプリケーションサーバの 処理時間(処理を始めてから応答を返すまでの時間)の合計である。 検討したネットワーク構成での応答時間の短縮効果を評価するために, アプリケーションサーバでの平均処理待ち時間を計算する。 アプリケーションサーバの要求1件の平均処理時間は 0.40 秒であり, 要求の平均到着率は 2.30 件/秒である。処理の待ち行列はアプリケーションサーバだけで 発生するものとして,現行のネットワーク構成における平均処理待ち時間を, 次の M/M/1 の待ち行列モデルの式で計算すると,4.60 秒となる。
ρ :アプリケーションサーバの利用率=λ /μ μ :アプリケーションサーバの処理率(=平均処理時間の逆数) λ :アプリケーションサーバヘの平均到着率 アプリケーションサーバを1台追加し,装置タイプ B を導入したとき, 1台のアプリケーションサーバでの平均処理待ち時間を M/M/1 の待ち行列モデルに よって計算すると, 秒となる。 ここで,要求は2台のアプリケーションサーバに交互に振り分けられると仮定する。 また,平均処理待ち時間は小数第3位を四捨五入し,ネットワーク上のデータ転送時間と アプリケーションサーバの処理時間は変わらないものとする。 解答群 [←前の問題] [次の問題→] [問題一覧表] [分野別] [基本情報技術者試験TOP ]
©2004-2025 情報処理試験.jp
|
プライバシーポリシー・著作権・リンク
|
お問合わせ
| ||||||
